Что нужно сделать

НОВОСТИ

Налоговые и бухгалтерские новости

ОТЧЕТНОСТЬ

РСВ за I квартал 2023 года: сдаем по новой форме

Рекомендованы новые коды для РСВ

Как налогоплательщику исправлять ошибки в налоговой отчетности в 2023 году

Занизили налог в декларации? Учтите 3 особенности при подаче уточненки

Декларационные вопросы у ИП на ОСН

Декларационные вопросы у ИП на упрощенке

НАЛОГИ И БУХУЧЕТ

Изменения-2023: расставляем точки над i в спорных вопросах

ЕНП-уведомления по имущественным налогам в ЛНР, ДНР, ХО и ЗО

Переход права собственности на товар: как влияет на обязанности сторон и учет

Вторичная цессия: как учесть повторную уступку долга

Повторная уступка: учетные нюансы при вторичной цессии по договору реализации

Как ЕНП изменил расчет платежей по УСН

ПРОВЕРКИ И КОНТРОЛЬ

Как исправить сальдо на ЕНС, с которым не согласны

Кассовые проверки в 2023 году: особенности в период моратория

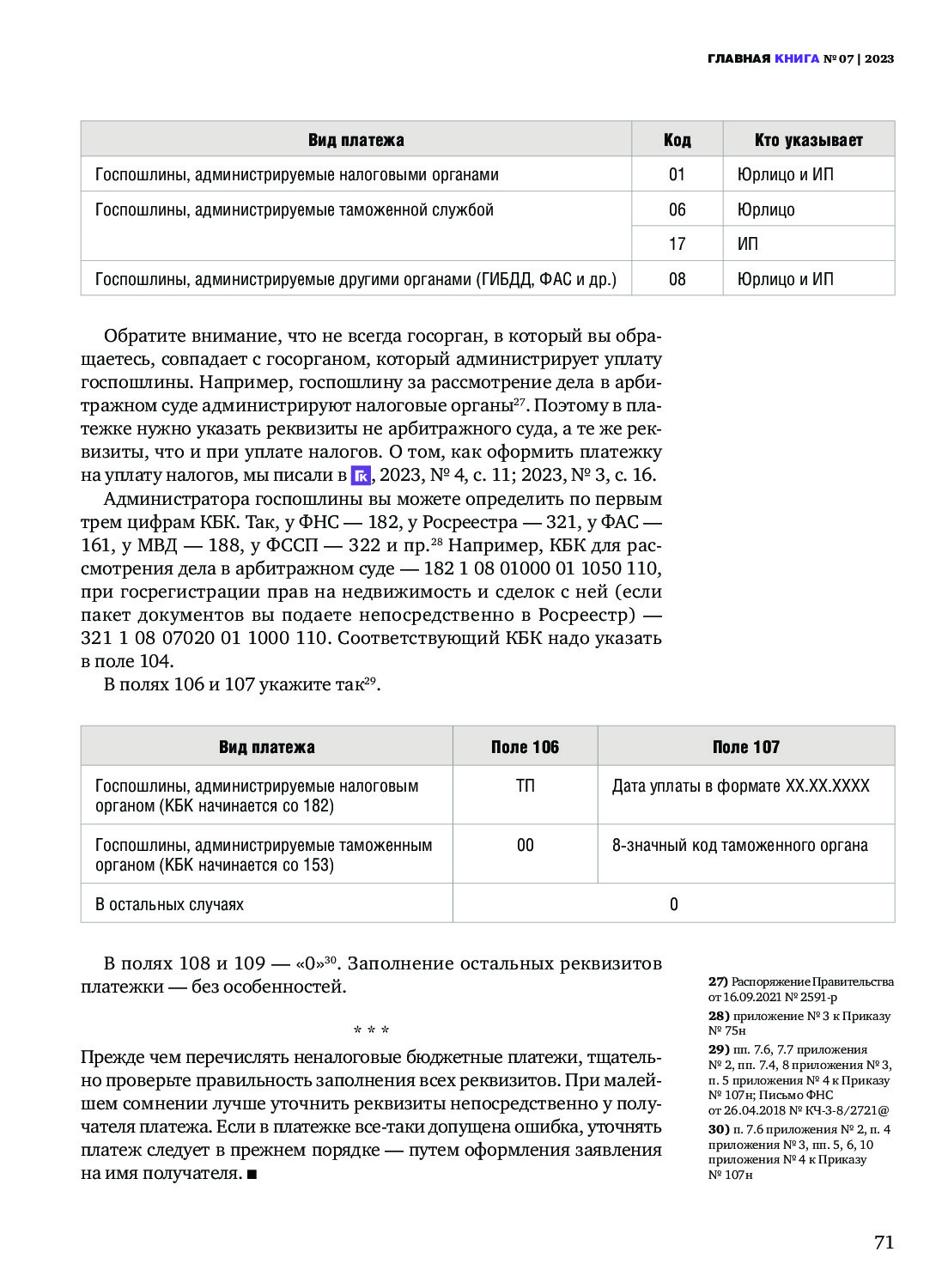
Что учесть при формировании неналоговой бюджетной платежки

Оформляем, подписываем и храним электронные документы

Устанавливаем видеонаблюдение в офисе с учетом судебной практики

ЛИЧНЫЙ ИНТЕРЕС

Декларацию 3-НДФЛ обновили: что изменилось

Декларационная кампания — 2023 в вопросах и ответах

К ЧЕМУ ГОТОВИТЬСЯ

Проекты

В БЛИЖАЙШИХ НОМЕРАХ

Анонс журнала «Главная книга» № 08, 2023 г.

Содержание номера
Все журналы